国六重负荷柴油机的低粘度节能型机油应用及可靠性影响
2022-03-28 来源:润滑油情报
摘要:随着人们对环保的重视以及环保法规、油耗法规的日益严格,中国柴油发动机的发展迈入了节能减排阶段。《GB/T 30510-2018 重型商用车燃料消耗量限值》法规已经开始实施,重负荷柴油机燃料消耗量限值比之前降低约 15%。

相比于柴油机,汽油机的压缩比低(一般的,汽油机压缩比8~10 : 1;柴油机压缩比 16~20 : 1)、爆压、负荷也低很多,因而汽油机更有利于低粘度机油的应用。目前,市场上汽油机油为 0W-30、0W-40,粘度普遍较低,有些原始设备制造商(original equipment manufacturer, OEM)正在开发 0W-20、0W-16 等超低粘度汽油机油。柴油机油还是以15W-40、10W-40 这些较高粘度为主,特别是渣土车等工程车还会用到 20W-50 的高粘度机油。但是,随着 GB/T 30510-2018 油耗法规的实施,以及下一阶段更严苛油耗限值的压力,柴油发动机降低油耗、提升燃油经济性的需求越来越迫切。因此,开发一款适用于重负荷柴油机的低粘度节能型机油势在必行。
1、燃油经济性影响因素分析
1.1 粘度与燃油经济性
发动机运动副零部件间的润滑状态分为流体润滑、混合润滑及边界润滑。从摩擦学理论中的 Stribeck曲线可以看出摩擦系数随零部件间的润滑状态不同而变化。在流体润滑时,摩擦系数随着润滑油粘度的降低而降低,因此,应用低粘度润滑油能够降低摩擦功,提升发动机的燃油经济性。边界润滑和混合润滑时,摩擦改进剂起到主要作用,可以有效降低摩擦功。但当粘度过于降低后,运动副零部件润滑状态变为边界润滑,摩擦系数也随之变大,从而造成运动副零部件磨损严重,最终减少发动机的可靠性寿命。
1.2 摩擦改进剂与燃油经济性
摩擦改进剂的主要作用是降低运动副间的摩擦系数来提高发动机燃油经济性,通过物理或化学的形式吸附在运动副表面,形成一层膜。当运动副处在边界润滑和混合润滑时,摩擦改进剂可以充分降低运动副零件之间的摩擦系数。减小摩擦的机理是添加剂的分子垂直吸附在运动副表面上,并且呈现出直线排列的次级结构膜来达到减摩效果;另外,添加剂在运动副表面上分解生成化合物,并聚集在运动副表面的凹处,从而使运动副表面达到光滑的状态,有效地降低运动副间的摩擦系数。全新开发的复合水杨酸杨基的摩擦改进剂能够更充分分解并密集而牢固地吸附在运动副表面,形成稳固的结构膜从而达到更好的减摩效果。本研究采用某国六排放六缸发动机,其参数为排量 7.8L、额定转速为 2 200 r/min、额定功率为 252 kW;对其稳态 13 工况及WHTC 瞬态工况进行测试,重点验摩擦改进剂对发动机燃油经济性的影响。试验中采用同一配方、同一粘度的润滑油(CJ-4/15W40)以排除润滑油粘度对试验结果的影响;试验油为 3 种:1)不含摩擦改进剂油样;2)含原有摩擦改进剂油样;3)含全新摩擦改进剂油样。试验结果如图1 所示,可见,全新开发的摩擦改进剂对提高发动机燃油经济性的效果最好,燃油经济在稳态 13 工况和 WHTC 工况中测试分别提高 0.6% 和 0.35%。
与添加原有摩擦改进剂相比,在发动机燃油经济性测试中,全新摩擦改进剂能使燃油经济性提高约0.2%。

2、低粘度节能型润滑油对燃油经济性影响
发动机主要运动副零件所处的润滑状态有 3 种:1)主轴瓦、连杆瓦处的运动副基本属于流体润滑状态;2)缸套 - 活塞组件间的运动副属于流体润滑与混合润滑共存的状态;3) 凸轮以及气门阀系处的运动副基本属于边界润滑状态。
2.1 发动机轴瓦轴承摩擦损失功分析
发动机曲轴连杆机构的曲轴、连杆与轴瓦之间主要为流体润滑状态,可以通过式(1)和式(2)计算出曲轴与轴瓦之间以及连杆与轴瓦之间的摩擦损失功

其中:W 为摩擦损失功;L为横向宽度;H 为纵向宽度;D为轴承直径;ω为轴承转速;η为润滑油粘度;c为径向间隙;F 为承载负荷。由式(1)和式(2)可以看出降低润滑油粘度可以降低曲轴、连杆轴承与轴瓦之间摩擦损失功。
2.2 发动机活塞与缸套摩擦损失功分析
发动机缸套 - 活塞组件间的运动副润滑状态较为复杂。发动机活塞组件在缸套内运动时,处于流体润滑状态;活塞运动到上止点附近时,活塞与缸套的润滑状态从流体润滑逐步变为混合润滑,最后完全变为边界润滑。油膜厚度、摩擦平均有效压力、摩擦损失功可用式(3)—式(5)表示:

其中:d min 为最小油膜厚度;v 为在特定转角下的活塞运动速度;η 为润滑油黏度;p MEP 为摩擦平均有效压力。F为活塞环背面负荷;W 为摩擦损失功。
从式(4)可以看出降低润滑油粘度可以降低活塞与缸套之间的摩擦损失功。但是当机油粘度过度降低,会使得上止点附近的油膜厚度过小,导致更多的混合润滑、边界润滑,甚至干摩擦的产生,导致磨损加剧。
综上,过度降低润滑油的粘度会降低油膜厚度,从而对发动机的可靠性造成影响。因此,台架试验开始前需要利用计算机辅助工程进行低粘度润滑油的弹性流体动力学油膜厚度计算,主要使用润滑油运动粘度、密度、比热容等参数进行油膜厚度的模拟计算,验证是否满足设计使用要求。发动机零件设计、模拟计算时对于相同配方和质量等级的润滑油,通常是选取较低的粘度级别进行计算与分析,即低粘度级别能满足要求则高粘度级别同样能满足。因此,选取较低粘度级别的CJ-4/10W30 作为参比油进行模拟计算,而台架试验验证时选取目前市场上常用的 CJ-4/15W40粘度级别作为参比油,以便更好地与现实使用情景进行燃油经济性对比。本研究中以某六缸国六发动机为计算模型,分别计算 FA-4/5W30 和 CJ-4/10W30 润滑油的油膜厚度。各润滑油主要参数如表1所示。

2.3 主轴瓦 EHD 油膜厚度计算
主轴瓦的最小油膜厚度(d min )可用来表征曲轴与轴瓦间的润滑情况,发动机设计的油膜厚度标准为> 0.5 µm。EHD 计 算 结 果 显 示:FA-4/5W30 和 CJ-4/10W30(简称为 FA/5W、CJ/10W,下同)机油的油膜厚度都能满足发动机的设计标准要求(见图 2a),而前者比后者有所降低,最大降低幅度(Δd min )为 9.60%,具体见图 2b;因为每缸轴瓦受力规律不一样,曲轴、轴瓦变形也不一样,所以计算结果每缸主轴瓦 EHD 油膜厚度的变化幅度会有差异。
2.4 连杆瓦 EHD 油膜厚度计算
连杆瓦的最小油膜厚度可以反映出曲轴连杆轴颈部位与轴瓦间的润滑情况。EHD 计算得到 FA/5W 和CJ/10W 机油的连杆瓦 EHD 最小油膜厚度(d min ),可见图 3a ;FA/5W 和 CJ/10W 机油的油膜厚度都能满足发动机的设计标准要求,只是前者比后者有所降低,最大降低幅度(Δd min )为12.2%,具体见图 3b;每缸 d min 变化幅度的差异,是由于每缸轴瓦受力规律不一样,曲轴、轴瓦变形也不一样造成的。

2.5 台架稳态万有特性测试
为验证新研制的新一代低粘度节能型机油的实际使用效果,采用本公司研发的某六缸国六重负荷柴油机(CAE 计算模型机型)进行台架验证试验,工况采用万有特性循环测试。同时研制的低粘度节能型机油 FA-4/5W30 满足 FA-4 规格,粘度等级为 5W30。为评估测量的精度,选用的参比油前后各测量1次,确保数据的有效性,同时每次试验还要进行冲洗,减少前一次试验的机油残留。虽然高温高剪切粘度值越低,润滑油的节能效果越好,但是过低会造成过度磨损。因此,采用满足 FA-4 级别的油品(2.9 mPa · s < 高温高剪切粘度 < 3.2 mPa · s)能够有较好的节能效果,同时也可以兼顾抗磨损性。进行稳态的万有特性试验和瞬态 WHTC 循环测试验证低粘度润滑油的节能效果,试验过程中将发动机出水温度控制在 90(±1)℃,试验数据如图 4 所示。从万有特性测试试验数据可以看出,在经济区域使用FA-4/5W30 机油的比油耗为198 g/(kWh),比使用 CJ-4/15W40 机油的比油耗 200 g/ (kWh)降低了2 g/(kWh);从WHTC 测试数据可以看出,FA-4/5W30 机油的循环油耗为 224.2 g/(kWh)比 CJ-4/15W40 机油的循环油耗有所降低,并且CJ-4/15W40 机油前后 2 次测试的误差 0.125%,误差在允许范围内。总体来看使用 FA-4/5W30 机油比使用 CJ-4/15W40 机油的平均油耗能降低约 1%。

3、低粘度润滑油对可靠性的影响
润滑油粘度降低会影响发动机的机油压力、机油密度和比热容,降低油膜厚度,对发动机的可靠性造成影响。因此,低粘度润滑油要通过搭载发动机可靠性台架试验进行验证,通过测量可靠性前后机油压力、活塞漏气量以及关键运动副零件的磨损程度,采用旧油检测指标来评定 FA-4/5W30 低粘度机油性能是否通过台架可靠性试验考核,相关的可靠性试验边界参数见表 2 所示。

3.1 机油压力测试结果
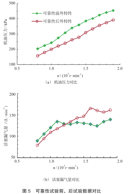
在进行可靠性试验前、试验后分别测量了发动机的机油压力及活塞漏气量,以评价使用 FA-4/5W30 低粘度机油对发动机实际可靠性指标的影响,测试结果如图 5 所示。

测试结果表明:可靠性试验后的机油压力略有降低约 20 kPa,活塞漏气量略有增加,说明发动机内部产生了一定程度的磨损,但是机油压力、活塞漏气量变化值均还在指标范围内。
3.2 机油消耗量测试结果
为了评价使用低粘度机油是否会导致机油消耗量恶化,在可靠性试验前、试验后,及试验过程都对机油消耗量进行了测试,试验数据如图 6 所示。测试结果表明:可靠性试验前(0 h)、试验中 (250h)、试验后(500 h)的机油消耗量试验测试结果呈现增长的趋势,但在指标(机燃比≤ 0.08%)范围内。

3.3 轴瓦、活塞环磨损检测结果
为了评价使用低粘度机油是否能够满足运动副零部件的使用要求,分别测量了可靠性试验前、试验后关键运动副零部件的重量(G)。关键运动副零部件在试验前、试验后重量失重(ΔG)情况如图7所示,其中主轴瓦与连杆瓦的重量失重≤ 1.5 g,活塞环的重量失重≤ 0.8 g。测试结果表明:可靠性试验后主轴瓦、连杆瓦、活塞环等零件都存在不同程度的失重情况,说明发动机运动副零件发生了磨损,但是失重情况都还在指标范围内,并没有发生异常磨损。
3.4 可靠性试验旧油检测结果


整个可靠性试验过程都对机油油样进行了抽样(每隔 50 h 取样一次)、检测,以随时监控机油性能变化、及发动机磨损情况。
3.4.1 粘度的变化
在 100 ℃时,运动粘度变化率 (Δη)数据如图 8 所示,运动粘度变化平稳,随着试验进行过程中烟炱含量的增长,粘度也出现了增长,但都维持在指标范围内,运动粘度变化率指标为:-20% ≤ Δη ≤ 20%。

3.4.2 抗氧化硝化性能
氧化值、硝化值体现了润滑油抗氧化、抗硝化的性能。因此,检测氧化值、硝化值可以直接反应机油的老化程度可以评价机油的可靠性程度。如图 9 是试验油的氧化值、硝化值变化曲线,如图所示,试验中试验油的氧化值、硝化随着试验的进行都出现了增长,但变化较为平稳,都维持在指标范围内,氧化值、硝化值指标为≤ 25 A/cm。

3.4.3 酸值 TAN 和碱值 TBN 的变化
酸值、碱值变化可以显示润滑油抗氧化性能的变化,是基础油老化氧化及添加剂劣化程度的重要指标。使用过程中,润滑油受到高温氧化作用,加上燃烧过程中酸性物质混入,会使油品的酸值增大,从而造成零部件腐蚀,同时还会带来加剧零部件的磨损、加快油品老化等问题。通过酸、碱值数据可以监测润滑油的老化、氧化程度。试验过程中的酸值、碱值变化情况见图10。从图10 可见,试验过程中酸值、碱值没有出现异常的变化,说明油品具有优良的碱值保持性能及抗老化氧化性能。试验过程中酸值、碱值没有出现异常的变化,说明油品具有优良的碱值保持性能及抗老化氧化性能。

3.4.3 金属元素含量的变化
发动机在运行过程中,各运动副零件始终都会产生一定程度的磨损,同时,润滑油氧化变质及烟炱等污染物的混入也会导致发动机各零部件的磨损。通过检测各金属元素含量的变化可以监控发动机的磨损程度。试验中试验油的金属元素(Fe、Cu、Al)变化情况见图11。由图12可见,试验油在使用过程中金属元素含量总体变化平稳。铝元素在 250~500 h 时含量较高,主要是因为在 250 h 时更换了凸轮轴考核件,由于台架装配质量问题导致凸轮轴衬套前期有一些磨损,但总体保持平稳。铜元素增长较大,这是由于发动机部分零件使用了铜材质的焊料,运行过程中铜元素可能会被析出从而导致铜元素增长,并且试验结束后对发动机进行拆检分析,并未发现有异常磨损。

综上,全新开发的 FA-4/5W30 低粘度机油抗磨损性能能够满足发动机的基本使用性需求。
4、结 论
本文研究了全新开发的复合水杨酸基摩擦改进剂配方的 FA- 4/5W30 低粘度节能型机油,采用计算机辅助工程(CAE)计算得到的油膜厚度能够满足设计要求,同时使用全新的某六缸国六重负荷柴油机进行台架燃油经济性测试和可靠性耐久验证试验。结果表明 : 该 FA-4/5W30 机油可以有效提升燃油经济性,同时满足发动机的基本使用性需求,与添加原有摩擦改进剂相比,全新摩擦改进剂能使燃油经济性提高约 0.2% ;该机油节油效果显著,WHTC 循环油耗降低约 1% ;该机油顺利通过了两轮 250 h台架可靠性试验,试验后的发动机零部件拆检无异常磨损,旧油检测在正常范围内。







粤公网安备 44010402003386号